想必大家都听说过“物理学界的两朵乌云”这个比喻吧,出自1900年开尔文勋爵在英国皇家研究所的科学报告会上 。这两朵著名的乌云,分别指的是经典物理在光以太和麦克斯韦-玻尔兹曼能量均分学说上遇到的难题 。说具体一些就是在迈克尔逊-莫雷实验和黑体辐射研究中的困境 。第一朵乌云,最终导致了相对论革命的爆发 。第二朵乌云,最终导致了量子论革命的爆发 。当时参会的科学家们绝对无法想象,正是这两朵不起眼的乌云会给物理学带来伟大的新生 。本文主要聊聊第一朵乌云,至于第二朵乌云指的是黑体辐射实验和理论的不一致,属于量子力学范畴,不做过多讨论 。
迈克尔逊-莫雷实验,他们俩本来想检测地球在以太中的运动,对干涉仪垂直方向上的光速造成的差异,最后却发现光速没有变化,证明了以太并不存在 。这个实验是物理史上最有名的“失败的实验”,在当时物理界引起了轰动,因为“以太”这个概念作为绝对运动的代表,是经典物理学和经典时空观的基础 。所有的物理学家看到这个结果都有点发懵,这意味着经典电磁学和牛顿力学有不可调和的矛盾 。

文章插图
于是,科学家们又开始开脑洞,其中最有名的就是洛伦兹和庞加莱 。如果非要给两个人找到共同点,那一定是:距离狭义相对论最近的男人 。洛伦兹左手一个“伽利略变换”,右手一个“光速在惯性参考系下速度不变”,然后把它们结合起来,弄出了一个连他自己都无法理解的东西,这东西就叫做:洛伦兹变换 。杨振宁曾经在他的文章《机遇与眼光》写到“洛伦兹有数学,但没有物理学;庞加莱有哲学,但也没有物理学 。正是 26 岁的爱因斯坦敢于质疑人类关于时间的原始观念,坚持同时性是相对的,才能从而打开了通向微观世界的新物理之门 。”

文章插图
到了这儿,迎来了本文的主人公——爱因斯坦,他之所以能够提出相对论,在于他从小就坚持的“怀疑态度”,他会对所有权威产生怀疑,敢于对任何社会环境里既存的信念持一种怀疑态度 。

文章插图
1905年,26岁的爱因斯坦以“光速不变原理”和“相对性原理”为基础假设,推导出了狭义相对论 。在他之前,没有人敢于质疑空间和时间,大家都觉得空间和时间是绝对的,但爱因斯坦觉得不对 。在狭义相对论中,空间和时间并不相互独立,而是统一的四维时空整体,不同惯性参考系之间的变换关系式与洛伦兹变换在数学表达式上是一致的 。设想有两个惯性坐标系S系、S'系,S'系的原点O'相对S系的原点O以速率v沿X轴正方向运动 。任意一事件在S系、S'系中的时空坐标分别为(x,y,z,t)、(x',y',z',t') 。t、t'分别是S系和S'系时刻 。

文章插图
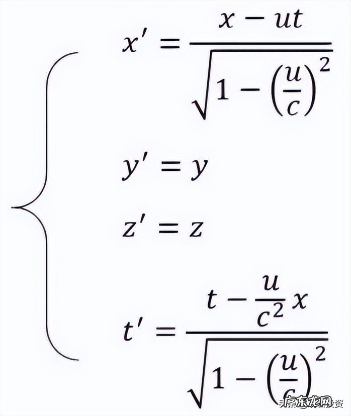
同一个物理事件在S系和S'系中的时空坐标由下列关系式联系:

文章插图
这个关系式称为洛伦兹变换(具体的推导过程感兴趣的同学可以上网搜) 。不同惯性系中的物理定律在洛伦兹变换下数学形式不变,它反映了空间和时间的密切联系,是狭义相对论中最基本的关系 。洛伦兹变换是高速运动的宏观物体在不同惯性参考系之间进行坐标和时间变换的基本规律 。当相对速度v远小于光速c时,洛伦兹变换退化为经典力学中的伽利略变换:
- 想减肥就不能吃甜食了吗?
- 想快速减重,怎么吃瘦最快
- 恋爱中的唯美句子说说心情
- 喉风散治疗乳瘘、褥疮医案分享
- 用治脾胃的药治疗湿疹医案分享
- 夏天胃口差,不想吃饭?白术帮你解决“疰夏”症状!
- 用柴胡舒肝丸治疗腰扭痛医案分享
- 看完甄嬛传结局,聊聊我心目中内心强大的5个女性特质
- 2022年属虎宝宝杜姓女孩名字
- 中医治愈深度囊肿医案分享
特别声明:本站内容均来自网友提供或互联网,仅供参考,请勿用于商业和其他非法用途。如果侵犯了您的权益请与我们联系,我们将在24小时内删除。
