合计1385人!濮阳最新公租房申请名单公示!快看名单有你吗?( 二 )
----合计1385人!濮阳最新公租房申请名单公示!快看名单有你吗?//----
----合计1385人!濮阳最新公租房申请名单公示!快看名单有你吗?//----
----合计1385人!濮阳最新公租房申请名单公示!快看名单有你吗?//----
----合计1385人!濮阳最新公租房申请名单公示!快看名单有你吗?//----
----合计1385人!濮阳最新公租房申请名单公示!快看名单有你吗?//----
"multi_version":false
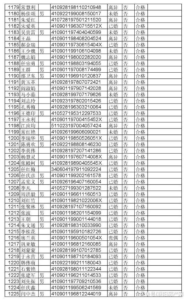
好消息!好消息!
濮阳市城区
公租房申请合格家庭名单公示啦!
合计1385户新申请家庭已通过审核 。
网站截图
快来看看有没有你家的名字吧!
下面就附上名单找一下有没有你们哦
(如看不清就点开大图)
此次公开仅仅是审查合格者名单哦
公示完后再进行选房
具体选房时间官方公布为准!
转发扩散!
让更多的人知道吧!
来源/濮阳房产网
特别声明:本站内容均来自网友提供或互联网,仅供参考,请勿用于商业和其他非法用途。如果侵犯了您的权益请与我们联系,我们将在24小时内删除。
