文章插图
圣光守护(Lv25)
效果:
⑴ 减少队友所受伤害(满级减少31%);
⑵ 当队友被攻击时不会进入僵直状态;
⑶ 增加守护祝福效果(20%)
有效范围:900px
持续时间:8秒
CD:20秒
推荐:必满 。
点评:攻守兼备的技能 , 与新生圣歌配合就是小强般的存在 。
罩子本身没有HP上限 , 可以为队友创造良好的输出环境 。
好的奶妈要学会在合适的时机使用这技能 , 比如月光进屋后以及魔剑贝亚罗狂暴时防止队友被击倒中招 。
但在一些场合就要避免使用 , 比如吞噬魔吃属性球之前就不要给队友加 , 有可能炸掉属性球 。有CD套的奶妈可以实现无缝衔接 。

文章插图
复苏之光(Lv40)
效果:复活周围死亡的队友 , 复活后回复20%的血蓝 , 队友死前buff保持 。
有效范围:330px
使用次数:1次
推荐:不点or点满 。
点评:攻略火山建议不点 , 有可能会出现卡尸体BUG;攻略卢克团还是可以点上的 , 以备不时之需 。超时空团本无法使用 。
㈣属性增益类技能(攻击、异常状态 , 复活技能)
Ⅰ.攻击提升类:

文章插图
勇气祝福(Lv30)
效果:
⑴ 大幅度增加除自身外的队友的力量、智力、物理魔法独立攻击力和命中率 。此效果与奶妈智力正相关 , 与奶爸四大祝福效果冲突(保留先上的buff);
⑵ 增加自身的技能攻击力和命中率 。达到20级后不再增强增加技能攻击力的效果;
⑶ 当一名队友hit数达到20时 , 自己会得到相当于队友22%“勇气祝福”的效果 , 持续20秒 , 如果有三名队友就可以得到66%的效果 。
有效范围:900px
持续时间:120秒
CD:10秒
推荐:必满 。
点评:奶妈的灵魂技能 , 等级上限为40级 。
技能等级与智力的取舍与自身智力有关 , 一般来说一级勇气祝福大致相当于110~180智力不等 , 堆智力的同时一定不要忽视了勇气祝福的等级 。
详细数据:
经常会有奶妈玩家不知道如何在勇气等级和智力之间取舍 。这里不考虑团本团长的选择倾向 , 单就技能数据做下详细的说明 。
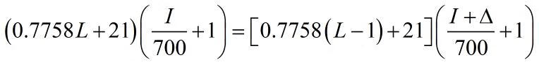
根据游戏内的技能数据可以列出不同等级的勇气祝福相对应的物理攻击力(ATK)、魔法攻击力(MGA)、独立攻击力(IDA)、力量(POW)以及智力(INT)的提升量 。利用回归分析可以得到下面的经验公式(以下用上面的英文缩写表示相应值的提升量 , L表示目前勇气祝福等级 , I表示奶妈当前适用智力):
ATK=0.7758(L-1)+21
MGA=0.697(L-1)+13
IDA=1.3455(L-1)+34
POW=8.8485(L-1)+131
INT=9.8545(L-1)+134
又实际增加量与奶妈自身智力也有关 , 这个比例智力增幅系数为700 , 即:
实际属性增加量=以上增量×[1+(I/700)]
我们假设奶妈智力增加Δ时的收益与提升1级勇气祝福的收益相等 , 以物理攻击力为例 , 有:

文章插图
化简上面的式子 , 可以推导出:
Δ(ATK)≈(0.8×I+543)/(0.8L+20.2)
- 抗青枯病的玉米品种 白轴抗锈病的玉米品种
- 适合深夜时发的文案 适合深夜发的情感文案
- 鼻孔外翻的人适合做什么样的工作
- 如何正确的引导孩子的视力发展
- 失去的记忆还能找回吗 遗忘的记忆可以找回吗
- 用什么方法能催旺桃花? 最快最好的催桃花方法
- 老婆要离婚怎么办,男人聪明的方法 老公说要离婚聪明做法
- 成人喝羊奶好还是牛奶好
- 淘宝类目品牌怎么填 淘宝标品类目怎么运营
- 普洱茶的泡法的正确方法视频 普洱茶的泡法
特别声明:本站内容均来自网友提供或互联网,仅供参考,请勿用于商业和其他非法用途。如果侵犯了您的权益请与我们联系,我们将在24小时内删除。
