高数k是椭圆某点处的斜率 等于此点处的导数
k' 是椭圆此点处的法线斜率 k'=-1/k
【椭圆内法线方向怎么,高数】内法线方向 即点指向椭圆内部法线方向 等于 (-dx, -dy) /((dx)^2+(dy)^2)^0.5
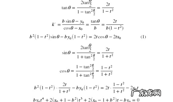
椭圆内法线方向怎么求y' = (dy/dθ)/(dx/dθ) = -bcosθ/sinθ = -b/tanθ 。在椭圆上点P(cosθ, bsinθ)处切线的斜率为k = -b/tanθ 。过P的法线的斜率为k' = -1/k = tanθ/b 。另外法线过(x0, y0)和P,其斜率为k 。
其余见图:

文章插图
扩展资料:
因此,它是圆的概括,其是具有两个焦点在相同位置处的特殊类型的椭圆 。椭圆的形状(如何“伸长”)由其偏心度表示,对于椭圆可以是从0(圆的极限情况)到任意接近但小于1的任何数字 。
椭圆是封闭式圆锥截面:由锥体与平面相交的平面曲线 。椭圆与其他两种形式的圆锥截面有很多相似之处:抛物线和双曲线,两者都是开放的和无界的 。圆柱体的横截面为椭圆形,除非该截面平行于圆柱体的轴线 。
椭圆也可以被定义为一组点,使得曲线上的每个点的距离与给定点(称为焦点)的距离与曲线上的相同点的距离的比值给定行(称为directrix)是一个常数 。该比率称为椭圆的偏心率 。
也可以这样定义椭圆,椭圆是点的集合 , 点其到两个焦点的距离的和是固定数 。
椭圆在物理,天文和工程方面很常见 。
椭圆的内法线怎么求在曲面内侧取一点Q,那么,如果法线方向和向量PQ的夹角大于90°,可以判定其为外法线,反之为内法线 。当然,也可以取曲面区域外侧的点进行判断,道理一样 。
椭圆与圆很相似 。不同之处在于椭圆有不同的x和y半径 , 而圆的x和y半径是相同的 。在数学中 , 椭圆是平面上到两个固定点的距离之和是同一个常数的点的轨迹 。
椭圆的法线方向怎么求设椭圆方程为x^2/a^2+y^2/b^2=1
则对x求导:2x/a^2+2yy'/b^2=0
得:y'=-b^2x/(a^2y)
在(x0,y0)的法线方程为:y=(a^2y0)/(b^2x0)*(x-x0)+y0,
要使它过(0,0),则有:0=-(a^2y0)/b^2+y0
即(b^2-a^2)y0=0
因此得:a=b或y0=0
当a=b时,此时椭圆就成为圆了,法线必过中心点(圆心)了;
当y0=0,此时(x0,y0)就是x轴上的顶点,此时法线也过中心点,同理y轴上的顶点,其法线也过中心点.
- 自然哲学的数学原理,自然哲学的数学原理的内容简介
- 应急箱内需要什么物品 应急箱应放在家中什么地方
- 怎么把的软件移到sd,安卓手机怎么将软件移到内存卡
- 五个既重视又重视具体是什么内容 五个更加注重内容是什么
- 小米9运行内存多少,小米9手机参数配置详细
- 内六角拧圆了怎么取出 内六角拧圆了怎么办
- 飞机上能带鸡肉,生鸡肉能带上飞机国内
- 香水兰在室内可以养,香水兰的养殖方法和注意事项 盆栽
- 室内温度多少合适 新生儿室内温度多少合适
- 冷冻鲍鱼怎么清洗分别内脏,鲍鱼怎么去内脏
特别声明:本站内容均来自网友提供或互联网,仅供参考,请勿用于商业和其他非法用途。如果侵犯了您的权益请与我们联系,我们将在24小时内删除。
