文章图片
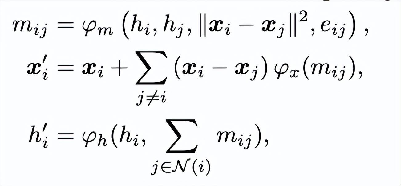
其中 ,
文章图片
是对几何特征的标量化 ,
文章图片
函数为不同的 MLP , 通过将几何信息和非几何信息消息进行关联
文章图片
,EGNN 可以同时保证非几何特征和几何特征传播过程中的等变性 。 这个构造结合了物理知识 , 可以看成是对两个粒子的库伦力 / 重力的计算的建模 。
在 EGNN 基础上 , GMN 扩展了模型可以描述的几何特征维度 , 在建模坐标信息的同时也可以同时引入更多的几何信息(如速度、加速度、角速度等)并保证等变性 。 GemNet 则在 DimeNet 基础上通过这一通用的表示将一些更丰富的几何特征 , 例如二面角等 , 结合到消息传播的过程中 。
此外 , 还存在一类标量化的方法 , 其基于不变的标量和等变的向量的乘积仍然是等变的向量这一观察来构造等变的消息传播 。 例如 ,PaiNN 和 Equivariant Transformer 在不变的 SchNet 上通过径向基函数建模原子的距离将等变的性质扩展到 SchNet 上 。
以下是对等变图神经网络模型的一个总结梳理:
文章图片
等变图神经网络应用
因为可以更好的建模几何信息 , 等变图神经网络在从物理系统到化学物质的各种类型的现实世界几何数据中具有广泛的应用 。 这篇综述简单介绍其在物理系统 , 分子数据和点云数据上的应用 。 下表总结了现有的等变神经网络的应用方向和数据集:
文章图片
对复杂物理系统的建模
长期以来 , 对复杂物理系统的动力学进行建模一直是一个具有挑战性的话题 。 在物理系统中 , 有像带电粒子这样的物体 , 它们通过基于物理定律的力进行相互作用产生运动轨迹 。 在 NRI 这篇工作中最早引入 n-body 模拟的问题 。 n-body 中系统包含多个带电粒子 , 这些粒子由相互之间的库伦力驱动 。 n-body 问题的目标是给定系统的初始条件(坐标 , 速度和电荷量)的情况下预测这些粒子的动力学轨迹 。 这一任务是 E(3)等变的 。 SE(3)-Transformer 和 EGNN 都展示了等变图神经网络在这个任务上的潜力 。 GMN 中进一步提出了一个更有挑战性的问题 -- 带约束的 n-body 问题 , 即如何在粒子之间有约束 , 例如连杆或者铰链的情况下对粒子运动轨迹做出有效的预测 。 除了微观方向的数据外 , NRI 和 GMN 也采用了人体运动捕捉的宏观数据验证了模型的有效性 。
对分子的建模
等变图神经网络另一个重要的应用方向是对分子数据的建模 。 在分子数据中 , 原子的相互作用是有一系列复杂的化学物理机制所决定的 。 对于典型的分子数据 , 原子非几何特征往往包含原子本身的一些特征 , 而几何特征则是原子的空间坐标 , 速度等 。 原子之间的边则由化学键或者根据实际距离做截断来构造 。 经典的在分子上的应用包括 , 分子预测和分子生成 。
分子预测:具体来说 , 分子预测包含对分子的属性和结构的一些预测任务 。 在分子预测这一领域 , 包含以下经典数据集 。 在小分子方面:QM9 是一个包含 12 个量子特征预测任务的经典小分子数据集 。 M17 则是一个在 8 个小分子上得到的动态轨迹的数据集 , 其中还包含了对应状态的能量和相互力作用等信息 。 ISO17 则是一个类似的分子动态轨迹数据集 , 其包含了 129 个同分异构体的轨迹信息 。 The Open Catalyst 2020 (OC20) 则包含了催化剂和底物的催化过程的状态信息 , 其目标是给定初始状态预测目标结构和对应状态的能量 。 在大分子方面:MDAnalysis 是一个较为完备的关于蛋白质级别的分子动力学模拟的数据 。 Atom3D 是一个综合数据集 , 包含 8 个具有几何信息的分子预测任务 , 范围从小分子到 RNA 和蛋白质 。
特别声明:本站内容均来自网友提供或互联网,仅供参考,请勿用于商业和其他非法用途。如果侵犯了您的权益请与我们联系,我们将在24小时内删除。
