
文章插图
极快的运动速度使电子在原子核周围形成“电子云”
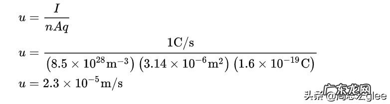
电流强度 I=nAqu
其中n为电路中电荷载流子密度(每单位体积带电粒子数),A为电路横截面积,已知一个电子的电荷量是 q=-1.6×10?1?库伦,电子流动的速度为u 。
我们假设在一个电线直径为2毫米(半径为0.001m)的纯铜导线电路中有1安培电流,以此计算电子在其中的速度 。
导线的横截面积A=π×(0.001m)2=3.14×10??m2
由于铜的密度为8.94g/cm3,其原子量为63.546g/mol,所以有140685.5mol/m3 。 按照阿伏伽德罗常量,在一摩尔的任何元素中都存在6.02×1023个原子 。 因此,1m3左右的铜有8.5×102?个原子(6.02 × 1023×140685.5mol/m3) 。 每个铜原子有一个自由电子,因此 n=每立方米8.5×102?个电子 。
我们将上述参数代入公式求电子漂移速度:

文章插图
电路中电子漂移速度计算
结果是u=23μm/s ,也就是说一小时电子才走了83毫米!是不是很惊喜?要知道蜗牛一小时最快可以爬8米多,它是电子漂移速度的100倍!
如果我们给这条电线通的是60Hz交流电,在半个周期内电子漂移小于0.2μm,然后在下半个周期它会再往回漂 。 换句话说,从你打开开关的那一刻起,流过开关中接触点的电子实际上永远不会离开开关,它始终在那里晃来晃去,导线中其它的电子也是一样地晃来晃去 。
这与我们拧开水龙头看到哗哗哗地出水完全是两回事!为什么我们在按下开关的几乎同时,电灯就能亮,而电子又几乎没有离开它原来的位置呢?

文章插图
不能将电流与水流相比
电流到底是什么?
前面介绍过,在金属导体的内部充斥着大量自由电子,它们平时以1570公里/秒的速度在金属晶格里乱窜,由于自由电子们运动的方向不一致,因此对外不会显示出电流 。
当我们在金属导体的两端通上直流电,在电场的作用下,这些自由电子沿着电场力的方向被迫向正端子冲击,从而形成电流 。
导线中载流子们传递的是电磁波 。 金属导线就像是一个长长的牛顿摇篮(牛顿摆),其中众多的电子就是那一颗颗小球,当我们在导线两端施加电压,电子会在电场的作用下被批量激发,然后迅速将电场能量以电磁波的方式向前传递 。 尽管电子本身移动的幅度很小,但电磁波传递的速度是光速 。 因此电路中所有的自由电子会瞬间获得能量,从而形成电流,电流的强度与参与传递电子的数量相关 。

文章插图
牛顿摆
你可能会问,既然电子传递的是电磁波,电磁波的速度是光速,为什么电流的速度只是接近光速而非等于光速呢?
这是因为载流子在传递电磁波的过程中存在干扰波 。 几乎所有的金属导体都存在电阻,这与金属的纯度以及金属晶体的晶格是否排列规则相关 。 当电磁波穿过晶格时,它会被不规则的晶格干扰,从而使原子产生振动而发热,这就是电阻 。 干扰波的存在使电磁波传递的速度受到影响,从而使电流的速度只相当于光速的50%~99% 。
总结
电流是什么?它是电路中载流子在电压作用下对电场的传递 。 电场传递的速度接近于电磁波的速度,因此电流的速度非常快,它接近光速 。 这也就是为什么电灯会在我们按下开关的同时亮起来 。
在电路中负责传递电场能量的自由电子运动速度极慢,与其说它们是在漂移,不如说它们在缓慢地挪动更合适,蜗牛爬行的速度比电子移动的速度要快多了 。 而在交流电路中,自由电子几乎就是在原地晃来晃去,它们不会前进半步 。
特别声明:本站内容均来自网友提供或互联网,仅供参考,请勿用于商业和其他非法用途。如果侵犯了您的权益请与我们联系,我们将在24小时内删除。
