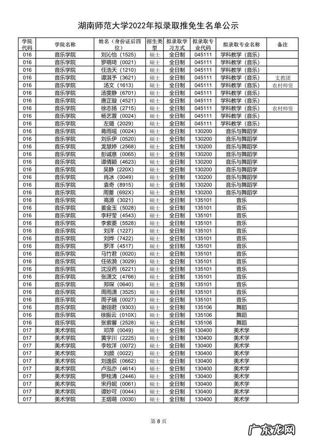
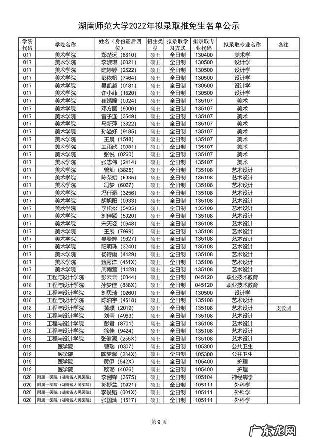
据湖南师范大学研究生院发布的消息 , 湖南师范大学2022年接收推荐免试研究生工作已经结束 , 现将拟录取名单进行公示 , 公示期为10月20日—11月2日 。
湖南师范大学2022年拟录取推免生名单公示

文章插图

文章插图

文章插图

文章插图

文章插图

文章插图

文章插图

文章插图

文章插图
【四川师范大学研究生院 湖南师范大学研究生院】

文章插图
- 中国药科大学官网 中国药科大学研究生院地址
- 大连外国语大学研究生院官网 大连外国语大学 研究生院
- 湖北大学师范学院研究生院 湖北师范大学研究生处
- 华中科技大学 华科大学研究生院
- 广东工业大学研究生成绩 广东工业大学研究生院院长
- 陕西师范大学考研 陕西师范大学考研成绩公布
- 2022云南民族大学研究生院 云南民族大学研究生院
- 大连医科大学研究生 大连医科大学研究生院
- 长春工业大学研究生 长春工业大学研究生院
- 甘肃中医药大学研究生院 成都中医药大学
特别声明:本站内容均来自网友提供或互联网,仅供参考,请勿用于商业和其他非法用途。如果侵犯了您的权益请与我们联系,我们将在24小时内删除。
