本文主要是给大家详细介绍关于“方差的怎么求”的核心内容以及“方差如何计算?”的相关知识, 希望对您有所帮助, 请往下看 。
很多同学在学习的时候, 遇到方差, 就会比较模糊, 不是特别清楚方差到底是什么含义, 模糊导致学习存在诸多困惑, 因此, 在这里杨大侠来通俗地解析下方差的定义 。

文章插图
一、方差的定义
方差, 直白地说是一个特殊的平均数, 特殊在它是:各数据与它们的平均数的差的平方的平均数 。 可以结合下面公式来看:

文章插图
S的平方是方差的符号
二、方差作用
用了衡量一组数据的组数据时离散程度, 离散程度(指的是偏离大小的意思), 所以方差衡量一批数据的波动大小, 方差越大,看上面公式, 数据和平均值的距离平方就越大, 导致偏离就大, 说明数据的波动越大,越不稳定 。 反之, 方差越小, 说明数据的波动越小,越稳定 。
三、例题展示及答案解析

文章插图
【方差的怎么求 方差如何计算?】

文章插图
四、计算方差步骤;
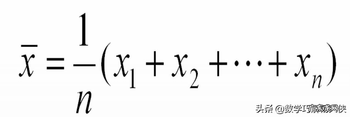
1、先求平均数, 平均数用下面的公式求

文章插图
平均数公式
2、求分子, 先求差值, 后平方, 相加求和
3、计算总体平均值, 代入方差公式
以上内容是杨大侠给同学们精心编写和设计, 希望对同学们理解方差有帮助, 大家加深理解, 提高成绩, 加油 。
以上内容就是关于方差的怎么求和方差如何计算?的全部内容, 是由小编认真整理编辑的, 如果对您有帮助请收藏转发...感谢支持!
- 芙芙痘痘贴怎么用 芙芙痘痘贴怎么样知乎
- 新款翼虎车怎么样值得买吗 大数据告诉你:学历真的能改变命运
- 葫芦侠使用方法的教程视频 天天酷跑葫芦侠怎么样
- 有没有好玩的h5游戏 好玩的h5游戏有哪些
- 秋天多吃点火龙果做的美食,不仅对能降火,还能滋养身体
- 今年618活动,你花了多少钱?
- 好看的短发造型有哪些?
- 做一个真正快乐的人是一种怎样的体验?
- 儿童性教育该怎么教?
- 如何取消打印机更换墨盒提示联想 联想打印机显示更换墨粉盒怎么办但是还有墨
特别声明:本站内容均来自网友提供或互联网,仅供参考,请勿用于商业和其他非法用途。如果侵犯了您的权益请与我们联系,我们将在24小时内删除。
