尊敬的网友们好!这篇文章主要是给大家详细描述关于“增长率公式怎么算”的核心内容以及“常见增长率的三个计算公式例题解析”的相关信息 , 希望对您有所帮助 , 请往下看 。
资料分析的材料 , 一般来源于真实报道 , 所以里面的数据很多都是真的 , 也就是说特别难计算 。 而有些问题也是比较实在 , 比如平均增长量或者平均增长率 。

文章插图
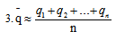
什么是平均增长率呢?就是平均每期的增长率 , 这点在算基金收益的时候经常用到 , 用来评估一只基金的好坏 。
一、平均增长率的公式平均增长率的标准公式如下:

文章插图
n表示期数 。
一般地 , 没有计算器的情况下 , 涉及到开根号就特别难计算 , 连估算都有难度 , 所以 , 我们经常用其它办法去计算平均增长率 。

文章插图
第一种:线性预估 。 公式如下:

文章插图
就是把总的增长率直接除以期数 , 得到一个平均增长率 。 这个原理跟我们提到过的线性预估类似 , 舍弃了高阶的小数 。 必须注意的是 , 一般增幅较小的时候 , 用这个公式误差会小一些 , 如果增幅很大 , 不建议用这个公式 , 而且必须记住 , 用这个方式预估出来的值是偏大的!

文章插图
解析:平均增长率问题 , 因为选项之间的差值较大 , 考虑用估算 。

文章插图
【常见增长率的三个计算公式例题解析 增长率公式怎么算】因为这个方式估出来的数是偏大的 , 所以正确答案应该选择A 。
第二种:

文章插图
例题:

文章插图
问题:2013-2017年移动宽带用户数的年均增长率为:
A.20% B.30% C.40% D.50%
解析:因为增幅较大 , 用第一种方式会偏差很大 , 考虑用第二种预估方式 , 平均增量为(113152-40161)÷4≈18248万 , 代入公式可得:

文章插图
答案选择B 。 如果用第一种方式预估 , 平均增长率=(113152-40161)÷4÷40161=45% , 偏差那是相当大啊 。
第三种:

文章插图
这个就更简单了 , 但前提是知道每一年的增长率 。
一般地 , 如果知道每一年的增长率 , 优先选择第三种 , 如果没有给出每年的增长率 , 增幅较小时选择第一种 , 增幅较大是选择第二种 。
总结:以上内容就是关于增长率公式怎么算和常见增长率的三个计算公式例题解析的全部内容 , 是由小编认真整理编辑的 , 如果对您有帮助请收藏转发...感谢支持!
- 真丝雪纺和桑蚕丝区别和价钱,桑蚕丝和真丝雪纺的区别
- 卡通蛇的图片大全可爱图片 卡通蛇简笔画可爱
- 穷人赚钱的方法你知道几种方式,穷人怎么挣钱
- 苹果的5g信号行不行 苹果5g手机怎么换成4 g网络了
- 氨基酸洁面膏怎么用,氨基酸洁面膏的功效
- 公认最好闻的女士香水品牌 范思哲女士香水哪款最好闻
- 非常隐秘的表白句子,绝对看不懂的表白情话 非常隐秘的表白短句
- 音乐无极限图片 音乐无极限节目
- 魔力学堂4399 魔力学堂手游
- 有个女孩下载 美女工厂下载
特别声明:本站内容均来自网友提供或互联网,仅供参考,请勿用于商业和其他非法用途。如果侵犯了您的权益请与我们联系,我们将在24小时内删除。
