文章图片
论文地址:https://arxiv.org/pdf/2111.09266.pdf
机器之心对这篇论文的主要章节做了简单介绍 , 更多细节内容请参考原论文 。
GFlowNets:学习流(flow)
研究者充分考虑了 Bengio et al. (2021)中引入的一般性问题 , 在这些问题中给出了一些关于流的约束或偏好 。 研究者的目标是使用估计量 F?(s)和 P?(s→s'|s)找到最能匹配需求的函数 , 如状态流函数 F(s)或转移概率函数 P(s→s' |s) , 这些可能不符合 proper flow 。 因此 , 他们将这类学习机器称为 Generative Flow Networks(简称为 GFlowNets) 。
GFlowNets 的定义如下:
文章图片
需要注意的是 , GFlowNet 的状态空间(state-space)可以轻松修改以适应底层状态空间 , 其中转换(transition)不会形成有向无环图(directed acyclic graph, DAG) 。
对于从终端流(Terminal Flow)估计转换概率 , 在 Bengio et al. (2021)的设置中 ,研究者得到了与「作为状态确定性函数的终端奖励函数 R 」相对应的终端流:
文章图片
这样一来就可以扩展框架并以各种方式处理随机奖励 。
GFlowNets 可以作为 MCMC Sampling 的替代方案 。 GFlowNet 方法分摊前期计算以训练生成器 , 为每个新样本产生非常有效的计算(构建单个配置 , 不需要链) 。
流匹配和详细的平衡损失 。 为了训练 GFlowNet , 研究者需要构建一个训练流程 , 该流程可以隐式地强制执行约束和偏好 。 他们将流匹配(flow-matching)或细致平衡条件(detailed balance condition)转换为可用的损失函数 。
对于奖励函数 , 研究者考虑了「奖励是随机而不是状态确定性函数」的设置 。 如果有一个像公式 44 中的奖励匹配损失 , 则终端流 F(s→s_f)的有效目标是预期奖励 E_R[R(s) , 因为这是给定 s 时最小化 R(s)上预期损失的值 。
文章图片
如果有一个像公式 43 中的奖励匹配损失 , 终端流 log F(s→s_f)的 log 有效目标是 log-reward E_R[log R(s)]的预期值 。 这表明了使用奖励匹配损失时 , GFlowNets 可以泛化至匹配随机奖励 。
文章图片
此外 , GFlowNets 可以像离线强化学习一样离线训练 。 对于 GFlowNets 中的直接信用分配(Direct Credit Assignment) , 研究者认为可以将使用 GFlowNet 采样轨迹的过程等同于在随机循环神经网络中采样状态序列 。 让事情变得更复杂的原因有两个 , 其一这类神经网络不直接输出与某个目标匹配的预测 , 其二状态可能是离散(或者离散和连续共存)的 。
条件流和自由能
本章主要介绍了条件流(Conditional flows)和自由能(Free energies) 。
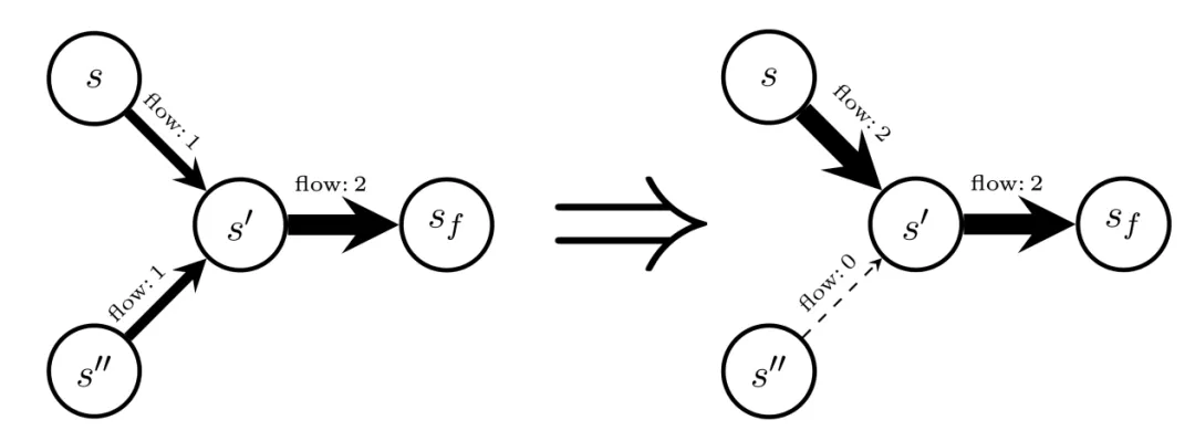
流的一个显著特性是:如果满足细致平衡或流匹配条件 , 则可以从初始状态流 F(s_0) 恢复归一化常数 Z(推论 3) 。 Z 还提供了与指定了终端转换流的给定终端奖励函数 R 相关联的配分函数(partition function) 。 下图展示了如何条件化 GFlowNet , 给定状态 s , 考虑通过原始流(左)和转移流来创建一组新的流(右) 。
文章图片
自由能是与能量函数相关的边缘化操作(即对大量项求和)的通用公式 。 研究者发现对自由能的估计为有趣的应用打开了大门 , 以往成本高昂的马尔可夫链蒙特卡洛(Markov chain Monte Carlo, MCMC)通常是主要方法 。
特别声明:本站内容均来自网友提供或互联网,仅供参考,请勿用于商业和其他非法用途。如果侵犯了您的权益请与我们联系,我们将在24小时内删除。
