圆的周长非常容易计算,因为圆的周长与其直径之比为恒定的圆周率,所以圆的直径乘以圆周率就能算出周长 。在某种意义上,圆是椭圆的一种特殊形式,两个焦点重合、半长轴(a)等于半短轴(b)的椭圆就是圆 。

文章插图
虽然圆的周长有初等函数表达式,但椭圆的周长却没有简单的计算公式 。不过,这并不意味着椭圆没有周长计算公式 。事实上,椭圆周长公式可以用积分形式精确表达出来:

文章插图
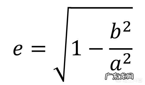
其中e为椭圆的离心率:

文章插图
只不过这是第二类完全椭圆积分,没有解析解,这意味着它不能用初等函数表示,只有在是圆的情况下才能 。但借助计算机,通过插值法等数值方法可以算出一定精度的椭圆周长 。或者,可以借助其他近似的初等函数公式来计算椭圆的周长 。
拉马努金在短暂的一生中发现了许多经典的公式,其中包括收敛速度非常快的圆周率公式,也包括椭圆周长的近似公式,比较有代表性的是下式:

文章插图
其中h表示:

文章插图
这个公式的误差很小,即便圆周率只取3.14,也能得到不错的精度 。
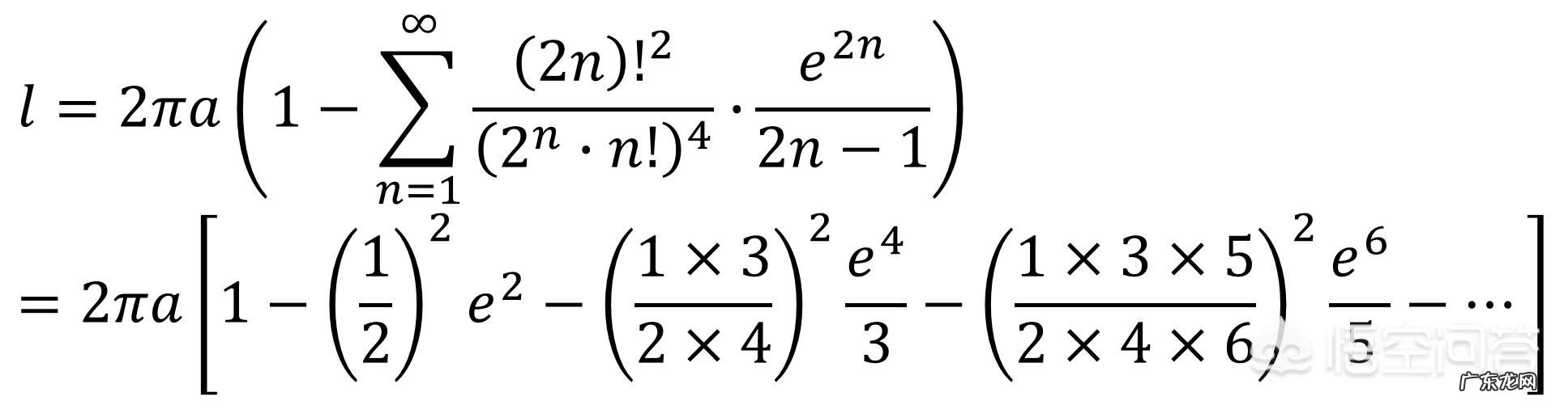
如果对第二类完全椭圆积分进行展开,椭圆的周长公式还有无穷级数的形式:

文章插图
在上式中,取的项数越多,计算结果越精确 。
在现实中,天体的运动轨道没有完美的圆形,大都是椭圆形 。利用椭圆周长的无穷级数公式来计算能够得到极高的精度,这足够用于天体运动的计算 。

文章插图
另外,由于引力作用引起的近日点进动,天体的每个公转轨道其实也不是重合的 。例如,地球每年的近日点和远日点的位置和日地距离都在发生变化;水星的近日点进动是八大行星中最大的那个,因为它最为靠近太阳 。
椭圆周长是有公式的,只不过确实不是精确的 。在我国的基础教育中尽管对椭圆有相关的教学内容,比如很多高考生的噩梦——圆锥曲线,但对于椭圆的周长公式在现在的基础教育教科书里却没有出现过 。
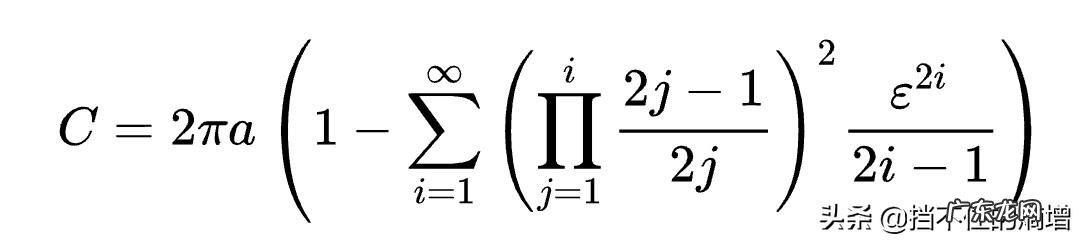
一个重要原因就是椭圆并没有直接的像圆周长那样的简洁公式,而是一个无穷级数:

文章插图
在求证上还涉及到参数方程,坐标变换,多重积分的运用,这些都是大学作为理工科学生才会稍微系统地学习的内容 。
上式中椭圆的周长只和变量半长轴a和椭圆偏心率ε,以及i值的精确度有关系,i值越大,求出的椭圆周长越精确,但永远不是一个精确值 。
宇宙中,可以说所有的天体运动轨道都有一定的偏心率,这意味着它的运动轨道就是一个椭圆,只不过“椭”的程度不同而已,而正圆的偏心率恰为0 。
比如我们地球的公转轨道为0.01627,十分接近一个圆了,而冥王星的偏心率高达0.2401,彗星的轨道更是出奇的偏 。

文章插图
对于天体的运动轨迹,除去中心天体以外星体的影响,我们几乎可以通过超算将它的轨迹描绘的很精确 。
- 请问出轨的男人是否值得原谅?
- 请问成家生子之后,怎样做才能保持身心健康?
- 请问NBA常规赛什么时候来?
- 我是退伍兵,单身一个人,想找个烈士陵园做个守墓人,请问找得到吗?
- 请问大丽花播种当年能否开花?
- 请问哪位高人帮我解释一下上善若水的含义?
- 请问山字墩属于棚户区改造还是商品房
- 请问大家的男朋友都是哪里找的?怎么找到的?
- 请问最优套期保值数量是多少?
- 请问所谓的食物相克是真的还是假的?
特别声明:本站内容均来自网友提供或互联网,仅供参考,请勿用于商业和其他非法用途。如果侵犯了您的权益请与我们联系,我们将在24小时内删除。
