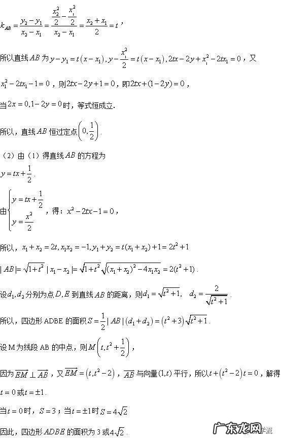
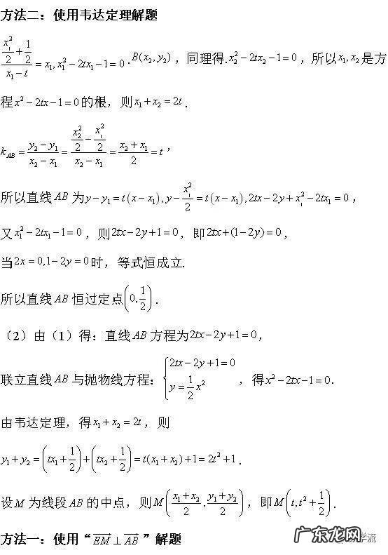
文章插图

文章插图

文章插图

文章插图

文章插图

文章插图

文章插图

文章插图

文章插图

文章插图

文章插图

文章插图

文章插图

文章插图

文章插图

文章插图

文章插图

文章插图

文章插图
- 学好数学有哪些好方法?
- 中班数学公开课教案《比较10以内数的多少》?
- 小女儿今年六年级,期中考试语文99,数学100,英语99,这个水平还需要提高吗?
- 2015年高考全国2卷数学科难度和历年怎样?
- 回忆一下你当年的高考作文?
- 计算反推 反推数学模型
- 2022考研数学一国家线会涨吗 数学一国家线工科2022
- 2020年高考时间为什么改为4天?你怎么看?
- 邯郸数学一对一辅导 邯郸一对一老师
- 五年级应用题(带答案的 五年级数学应用题大全)
特别声明:本站内容均来自网友提供或互联网,仅供参考,请勿用于商业和其他非法用途。如果侵犯了您的权益请与我们联系,我们将在24小时内删除。
